A chair fell in the LaVelle double chair’s loading area at Montana Snowbowl Sunday, the resort’s third day of operations for the season. “Earlier today, an incident occurred on LaValle chairlift that required us to temporarily halt lift service,” Montana Snowbowl said in a statement posted to Facebook. “We are grateful to report that no injuries occurred. Our maintenance department was able to inspect the lift and ensure it was safe to operate. LaVelle was then reopened to the public for the remainder of the afternoon.”
LaVelle Creek is a 1984 Riblet double. The incident is the latest in a string of unfortunate mishaps involing Riblet lifts at Snowbowl. In March of 2023, a Riblet chair hit a tower and broke apart on the TV Mountain lift, causing a child to fall. The Forest Service sent a notice of noncompliance to the resort, preventing the lift from operating until it was repaired for the following season. Prior to that incident, the Grizzly lift was rope evacuated due to a power outage in February 2021. Another chair fell from the LaVelle lift in January 2020, requiring a rope evacuation.
Snowbowl plans to close midweek this week and reopen on Friday, December 20th.
Update: Montana Snowbowl issued a second statement on Monday clarifying why the chair detached from the haul rope: “Yesterday, an empty chair collided with a lift operator, causing it to swing abnormally and subsequently become dislodged. This was a highly unusual and isolated incident. No one was injured, and the lift was thoroughly inspected and confirmed safe before resuming operations later that day.”
The International Olympic Committee designates Salt Lake City its preferred host for the 2034 Olympic Winter Games. Gondola or not, Little Cottonwood Canyon won’t host any events.
Skiers hike for opening day at Tyrol Basin, Wisconsin as a chairlift suffers “technical problems.”
A new report recommends training and policy changes following a six year old’s death on a T-Bar in Quebec last winter.
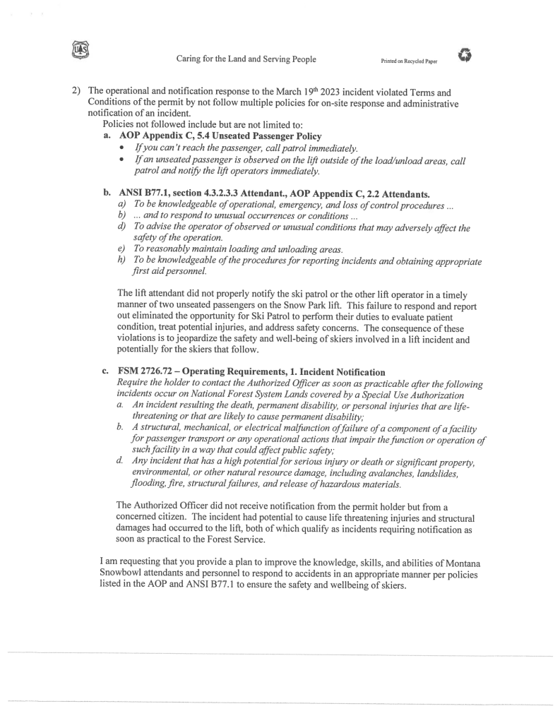
A notice of noncompliance obtained by Lift Blog through a public records request sheds new light on a March incident in which a chair contacted a tower and ejected a four year old boy at Montana Snowbowl. Lolo National Forest Supervisor Carolyn Upton wrote to Montana Snowbowl owner Brad Morris on March 29th detailing issues with the Snow Park lift, criticizing the resort’s response to the incident and requesting action by summer. The entire document is copied below with personal information redacted.
Four year old Sawyer McLeod fell from the Snow Park double March 19th after the chair he was riding collided with a halo on tower 1 shortly after loading. The boy’s father Nathan later jumped from the same chair, which was badly damaged from the collision. Neither rider was seriously injured. The lift resumed operating shortly after the incident with the affected chair marked by flagging.
Snow Park came used to Montana Snowbowl in 2019, two decades after manufacturer Riblet ceased operating. The 1966 model double was re-engineered by a third party and installed in house by mountain employees. The Forest Service says Montana Snowbowl knew about clearance issues with towers 1 and 2 by 2020 but did not take corrective action until a 2021 incident when a skier’s head contacted the halo on tower 2. On both towers 1 and 2, “modifications were made to the halo and supporting brackets to meet clearance standards,” the Forest Service noted. Nonetheless, Forest Supervisor Upton wrote that “due to the sequence of lift clearance incidents, I am concerned for the safety of skiers on the Snow Park lift.” Upton requested Montana Snowbowl seek ANSI B77.1 compliance testing by a consulting engineer independent of the lift’s designer and Forest Service to determine what actions or modifications are needed to prevent entanglements.
A second issue raised by the letter is Montana Snowbowl’s training and response to the incident. Policy dictates that lift operators are to call patrol immediately any time an unseated passenger cannot be physically reached. “The lift attendant did not properly notify the ski patrol or other lift operator in a timely manner of two unseated passengers on the Snow Park lift,” wrote Upton. “This failure to respond and report out eliminated the opportunity for Ski Patrol to perform their duties to evaluate patient condition, treat potential injuries, and address safety concerns,” she continued. Resort management also failed to notify the Forest Service of the incident involving both structural damage and potential for injury, as required by Forest Service policy. The agency didn’t find out about the incident until the following day from a concerned citizen. Upon learning of the incident, the Forest Service requested the lift be shut down and it remained shuttered the rest of the season. The Forest Service later requested Snowbowl provide a plan to improve the knowledge, skills and abilities of lift attendants and personnel to respond to accidents in an appropriate manner.
Montana Snowbowl did not respond to Lift Blog’s request for comment but issued a statement on social media the day after Supervisor Upton’s letter was sent. “We want to extend our sincerest apologies to the child and his family,” Snowbowl wrote. “We fully realize the impact this incident has had on them and the community. The safety of our customers is paramount to Snowbowl’s management and staff, and we are committed to investigating the cause of this incident and making any required changes,” the statement continued. The Forest Service’s March 29th notice began a 90 day period for the permit holder to respond. Montana Snowbowl typically opens a different double chair along with zip lines for the summer in late June, right about the time the Forest Service expects a response to its letter. The ski area’s special use permit with the Forest Service currently runs through the end of 2044.
Woods Valley eyes installation of two used CTEC quads over the next few years.
Big Sky shares photos of new tram cabins being fabricated in Switzerland.
Two studies see the ropeway market growing around 10 percent annually over the next decade with the North American share growing to near 20 percent of the global total.
Nathan McLeod works to lower himself from a damaged chair after it contacted a tower near the loading station of the Snow Park double chair.
A double chair was left mangled and two people were thankfully uninjured after a harrowing incident at Montana Snowbowl last Sunday first reported by the Missoulian. Nathan McLeod was skiing with his two young sons March 19th when the incident happened at the bottom of the Snow Park double chair. In a phone interview this afternoon, McLeod told Lift Blog that his older son Cassidy loaded one chair ahead of him with a stranger, as is common on double chairs when families cannot ride together. McLeod said loading of the first chair did not go perfectly, and even though both Cassidy and the stranger ended up seated, the chair began to swing in a circular motion. That caused the next chair with McLeod and his four year old son Sawyer to also begin swinging.
McLeod self-lowers from the chair after the lift stopped.
The second chair contacted tower 1 with such force to both eject Sawyer and cause the chair’s back and base to bend backward significantly. McLeod said he tried to grab Sawyer to prevent him from falling but that the chair was “falling apart at the same time.” McLeod held on and the lift stopped but he eventually decided to lower himself and jump the rest of the way to help his son. The lift operator also came to Sawyer’s aid and gave the four year old a hug. Because the Snow Park chair is the only way out of the terrain it services and McLeod’s older son Cassidy was still on the lift above, dad and Sawyer eventually rode up in a different chair and reunited at the summit. McLeod says Snowbowl personnel looked at the damaged chair at the top station for about 10 minutes but eventually restarted the lift and continued loading the rest of the chairs for at least the remainder of the day. The McLeod family skied to the base and later saw doctors to get checked out. By Thursday, the Lolo National Forest learned of the mishap and requested Snowbowl to temporarily close Snow Park, which it did.
The lift continued to operate after the incident with flagging tied to the damaged chair.
Snow Park is a Riblet double installed at Montana Snowbowl between 2017 and 2019 but dates back to 1966. It previously operated as Burlingame at Snowmass, Colorado, where it received a used Poma drive terminal in 2005. At Snowbowl, the lift includes 142 center pole chairs with insert clips and no restraining bars. McLeod says Snowbowl instructs small children to load on the inside and adults on the outside of chairs, which can cause them to swing and lean inward toward towers.
Damaged chair seen at the top drive terminal after the loading incident.
Lift Blog contacted Montana Snowbowl owner Brad Morris for comment on the incident earlier this week but did not receive a response. In an interview with the Missoulian, Snowbowl employee Andy Morris acknowledged that lightweight Riblet chairs have a tendency to swing after mis-loads but that the lift was designed by a professional engineer and is regularly inspected by the Forest Service and the mountain’s insurance company (Montana’s state Board of Passenger Tramway Safety was dissolved in the 1990s). Thursday Andy Morris met with the Forest Service and the lift’s engineer and agreed to complete a “minor change” to the tower. Morris told the Missoulian he believes the chair Sawyer and Nathan were on missed the tower’s halo and contacted another part of the tower.
McLeod said while he does not fault the lift operator for her actions and wishes the best for Snowbowl, he is disappointed in the mountain’s response to the incident, namely lack of communication and the decision to continue running the lift indefinitely with the damaged chair. “I just want Snowbowl to get their s*** together,” he said.
Alterra settles a class action lawsuit over Covid resort closures, agreeing to credit Ikon Pass holders $17.5 million and pay $2.9 million to attorneys.
Catamount will open the Glade triple this weekend after nearly two years of construction.
Citing a high volume of feedback, Utah delays a decision on Little Cottonwood Canyon mobility until summer.
Lifts are ready to go at Hickory, NY but insurance costs may prevent reopening this season.